在开关电源电路设计或射频电路设计试验过程中,经常要对线圈或导线的电感以及线圈的匝数进行计算,以便对电路参数进行调整和改进。但对于一般的硬件工程师, 往往对这些东东不屑一顾,请留步,少侠,说的就是您。举一个最不起眼的例子,电感可能起的作用。 120V—〉5V直流电源的输出, 大概1m长的电缆, 下图是典型AC-DC交流适配器的结构模拟:

显然Lline,Cin, Resr, Rline构成串联谐振系统,下图展示了上电时刻Pspice模拟的结果,峰值电流居然超过了40安培,峰值电压超过了电源的2.4倍。

仿真毕竟是仿真,真实情况如何呢?
上图展示了一个真实系统的实际测量, 由于负载效应的存在,振荡不像PSpice模拟得那么恐怖,但更加真实揭示了直流电源电缆线这个简单系统的险恶。如果不加以考虑,完全可能击穿输入端某些器件或者导致寿命的缩短。如果有童鞋曾经解剖过苹果手机, 并研究过它的历代的充电管理部分变迁, 对这个话题会有更深刻的理解。当然,如果感兴趣的人多了,笔者可以考虑另开一楼谈谈苹果的充电管理,今天离题太远,按下不表。
即使是在仪器仪表行业,工控行业,导线和各种空心线圈的电感量有时也是非常重要的参数,必须考虑在内。 下面仅列出多种导线电感量的计算方法以供参考,其推导过程这里不详细介绍。
在进行电路计算的时候,一般都采用SI国际单位制,μ0真空导磁率 的单位为H/m,μ0=4π*10-7。 即导磁率采用相对导磁率与真空导磁率的乘积,即:μ=μrμ0,其中相对导磁率μr是一个没有单位的系数。如果该导线沉浸在导磁率明显不同于真空的介质中,要做对应改变。高频应用因为趋肤效应还要略作修正,需要向下修正, 欢迎各路高手提出自己的高频应用修正公式!
手头有LCR测试仪的,也可以找一些导线或线圈来验证公式的准确度, 欢迎砸砖。
==============================
PS:想读御风而行的Will的更多文章吗?
欢迎关注思享国——www.all4lib.com!
==============================
第一部分 开路导线电感感值的估算
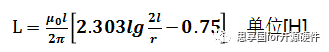
1. 圆截面直导线的电感(这是最重要的一个公式,到处用得到)
把它换算成我们常用的以十位底的对数lg, 单位不变
其中:
L:圆截面直导线的电感 [H]
l:导线长度 [m]
r:导线半径 [m]
这是在 l>> r的条件下的计算公式。一般导体的半径r要比其长度l小至少1个数量级, 一般2个量级以上,即r与l之间的可比性非常小。从公式中可以看出来,r即使成倍地增加,L也没有明显的减小。因此要减小这种导体的寄生电感,没有别的好办法,就要缩短导线的长度。
有的时候设计师在圆截面直导线的外部串磁圆环,简称磁珠,磁珠的电感是圆截面直导线的电感的μr倍, μr是磁芯的相对导磁率,μr=μ/μ0 ,μ为磁芯的导磁率,也称绝对导磁率, μr是一个无单位的常数,可以由供应商提供,它很容易通过实际测量来求得。
各位有时候可以在其他地方看到不同的公式,不代表就是错了,往往是由于单位的不同,取对数的时候导致一个常数项差异, 所以单位必须仔细核对,确保在使用公式的时候是正确的。
2. 矩形截面直导线的电感(其实这个公式比上面那个更加重要,因为我们PCB上到处都是矩形截面)
其中
L:矩形截面直导线的电感 [H]
l:导线长度 [m]
b:导线宽度 [m]
c:导线厚度 [m]
和前面讲过的道理一样,降低PCB走线的电感,主要靠缩短长度,其次是宽度,几乎与敷铜厚度无关。从对数关系可以看出若PCB走线长度减少一半,则电感也减少一半,但走线宽度必须增加10倍才能减少一半电感。
3. 同轴电缆线的电感
同轴电缆线如图2-33所示,其电感为:
其中:
L:同轴电缆的电感 [H]
l:同轴电缆线的长度 [m]
r1 :同轴电缆内导体外径 [m]
r2:同轴电缆外导体内径 [m]
请注意,该公式忽略了同轴电缆外层导体的厚度,要求工作波长远小于传输线长度。 这是因为传统电感定义是集总参数(lamped elements)两端口器件的定义,而传输线是典型的非集总参数四端口器件(distributed elements),当长度可以和信号波长相比拟的时候,一般计算特征阻抗。本公式仅仅计算了电感,真的在仿真的时候必须考虑电容。
4. 双线制传输线的电感
其中:
L:输电线的电感 [H]
l:输电线的长度 [m]
D:输电线间的距离 [m]
r:输电线的半径 [m]
该公式的应用条件是: l>> D ,D >> r ,另外最重要的,工作波长远大于传输线长度。 下图截取了长度为Δz的一小段传输线,建立了一个集总参数的模型, 可以看的更加清楚一点。
考虑高频或者阶跃,冲激响应仿真的时候需要考虑至少电容:
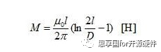
第二部分 两平行直导线之间的互感
在一般PCB设计中,出现两个PCB平行的情况比比皆是。LCD, LED显示的并行驱动,多声道音频信号的传送, 多通道信号的采集和传送等等。P两个直导线之间的信号影响有两个途径,一是互感,二是电容, 一般多通道信号之间描述互相影响,用串扰(crosstalk)这个指标。
两平行直导线如图,其互感为:
其中:
M:输电线的互感 [H]
l :输电线的长度 [m]
D:输电线间的距离 [m]
r:输电线的半径 [m]
μ0:真空导磁率
该公式的应用条件是: l>> D ,D >> r ,任意一个两个较长的导线都会有意无意,或多或少构成以下的关系,可以看成松耦合宽带变压器!
每一个环路减少面积是王道, 比如:
或者
这样的布线可以在远处利用不同方向的电流把感应作用抵消。在以太网中有4对线,都是采用这种绞合模式:
在PCB设计中遇到,一是多通道走线布局尽量不要平行,能垂直是最佳选择;二,不得以平行,两根线要隔开一定的距离;三是差分线传送, 作为系统设计工程师,长距离多通道传送可以用不同的载波,用频率做区隔; 或者学习PC系统,SATA,PCI-E取代早期的PCI和ISA总线,用串行分时模式取代并行模式。